GERÇEKİZMİR - İzmir Büyükşehir Belediye Başkanı Dr. Cemil Tugay’ın belediyenin kullanımındaki 3 taşınmaza yönelik işlemler nedeniyle eleştirdiği Vakıflar Genel Müdürlüğü, İzmir’de toplam 156 taşınmaz için kiralama ihalesine çıktı.
İzmir Büyükşehir Belediye Başkanı Dr. Cemil Tugay, daha önce yaptığı açıklamada Vakıflar Genel Müdürlüğü’nün belediyenin kullanımındaki 3 taşınmaza yönelik tahliye girişimlerini eleştirmişti. Tugay, mahkeme süreci devam ederken tahliye girişiminde bulunulmasının hukuka aykırı olduğunu savunmuştu.
Başkan Tugay ayrıca, İzmir halkının kaynaklarıyla restore edilerek kamusal hizmete sunulan bazı binalara el konulmaya çalışıldığını ifade ederek, Vakıflar’ın aynı dönemde İzmir’deki taşınmazlarını kiralama ihalelerine çıkmasını da eleştirmişti.
Tugay'dan '9 bin mülk' tepkisi gelmişti
Öte yandan, Başkan Tugay, mecliste Vakıflar Genel Müdürlüğü'ne devredilen üç taşınmaz hakkında yaptığı konuşmasında “9 bin 121 tane mülkünde işgalci pozisyonunda birileri var. Onlara sahip çıkamama gibi bir durumu var. Çok çok büyük bir yanlış. En kısa zamanda geri dönüleceğini düşünüyorum” ifadelerini kullanmıştı.
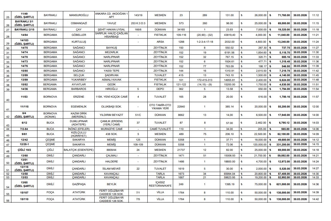
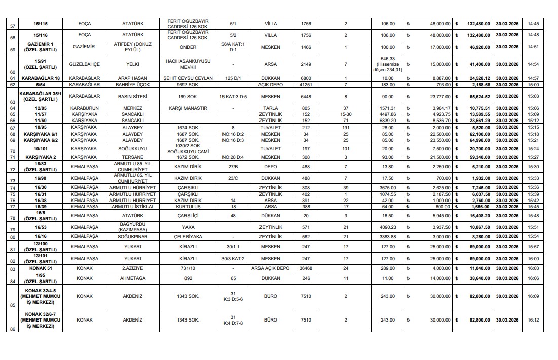
İzmir’de 156 taşınmaz için kiralama ihalesi
Vakıflar Genel Müdürlüğü’nün 156'sı İzmir'de olmak üzere toplam 187 taşınmazı kiraya vermek üzere ihale süreci başlattı. Söz konusu taşınmazların farklı ilçelerde bulunduğu ve kiralama işlemlerinin ihale yöntemiyle gerçekleştirileceği belirtildi.
Vakıflar Genel Müdürlüğü’nün kiralama ihalesine çıkardığı taşınmazlar arasında zeytinlik alanlar, dükkânlar, açık depo alanları, tuvalet ve çeşitli kullanım amaçlı yapılar yer aldı.







![]() |
![]() |
![]() |
![]() |
|||||
|
|
|||||||
![]() Küfür, hakaret içeren; dil, din, ırk ayrımı yapan; yasalara aykırı ifade ve beyanda bulunan ve tamamı büyük harflerle yazılan yorumlar yayınlanmayacaktır. Neleri kabul ediyorum: IP adresimin kaydedileceğini, adli makamlarca istenmesi durumunda ip adresimin yetkililerle paylaşılacağını, yazılan yorumların sorumluluğunun tarafıma ait olduğunu, yazımın, yetkililerce, fikrim sorulmaksızın yayından kaldırılabileceğini bu siteye girdiğim andan itibaren kabul etmiş sayılırım. |











Künye
İletişim
Facebook
Twitter
RSS
Sitene Ekle
Günün Haberleri